共计 514 个字符,预计需要花费 2 分钟才能阅读完成。
这篇继续接上篇文章ips,讨论下ips如何去解决IEB问题的。论文里给出的大的标题是对IPS的描述是在一个叫“反事实风险正则化”这个标题下面。反事实在上一篇就提到了,那么看ips就是要讲这个风险最小化。
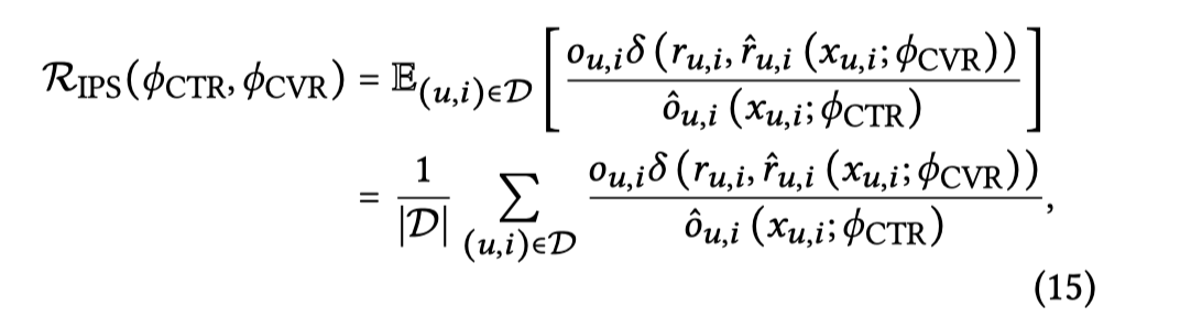
IPS的公式我在这里在贴一下

这个公式的解析在上一篇文章也已经说明过了,接下来就是去论证如何解决IEB问题。
IEB在前面的推论就是PCVR预估偏高的问题,理想的loss如下所示,这是建立在转化空间完全观测的情况下

这个R空间就是转化空间,常见的损失函数是交叉熵。
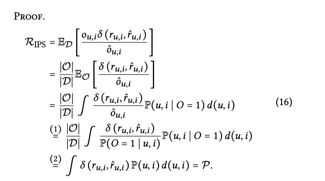
接下来就是要验证在D空间(全空间)上的R_ips=P,整个的证明过程如下所示

现在开始论证过程一行一行的解释
(1)这个就是最开始列出R_ips公式
(2)从全空间到点击空间的转化
(3)是期望到积分公式的映射
(4)\hat o_{u,i}的概率公式,在上一篇也提到过是ctr tower的输出,也就是预估click=1的概率,这么一说就比较好理解了
(5)这一步需要用到贝叶斯公式变换\frac{p(u,i|o=1)}{p(o=1|u,i)}=p(u,i),那么到这一步就论证出了R_ips=P结论
到此为止,IEB问题就水落石出了。
正文完
请博主喝杯咖啡吧!